2020年5月19日,环境科学与生态学领域顶级国际期刊Science of the Total Environment(IF=5.589)在线发表了我实验室蔡明刚教授课题组题为Isolating different natural and anthropogenic PAHs in the sediments from the northern Bering-Chukchi margin: implications for transport processes in a warming Arctic的最新研究成果。
多环芳烃(Polycyclic Aromatic Hydrocarbons, PAHs)已成为影响北极生态系统健康的重要污染物,但不同来源的PAHs在北极的传输途径及其相对重要性仍不清晰,气候变化背景下这一问题更趋复杂。该研究基于白令海北部-楚克奇海陆架区表层沉积物中27种多环芳烃分析结果,将诊断比值法、主成分分析、聚类分析和正矩阵因子(Positive Matrix Factor, PMF)分析等源解析方法与地球化学参数相结合,逐步明晰PAHs来源的空间格局,并对其传输途径与气候变化的关系做了进一步的解析。
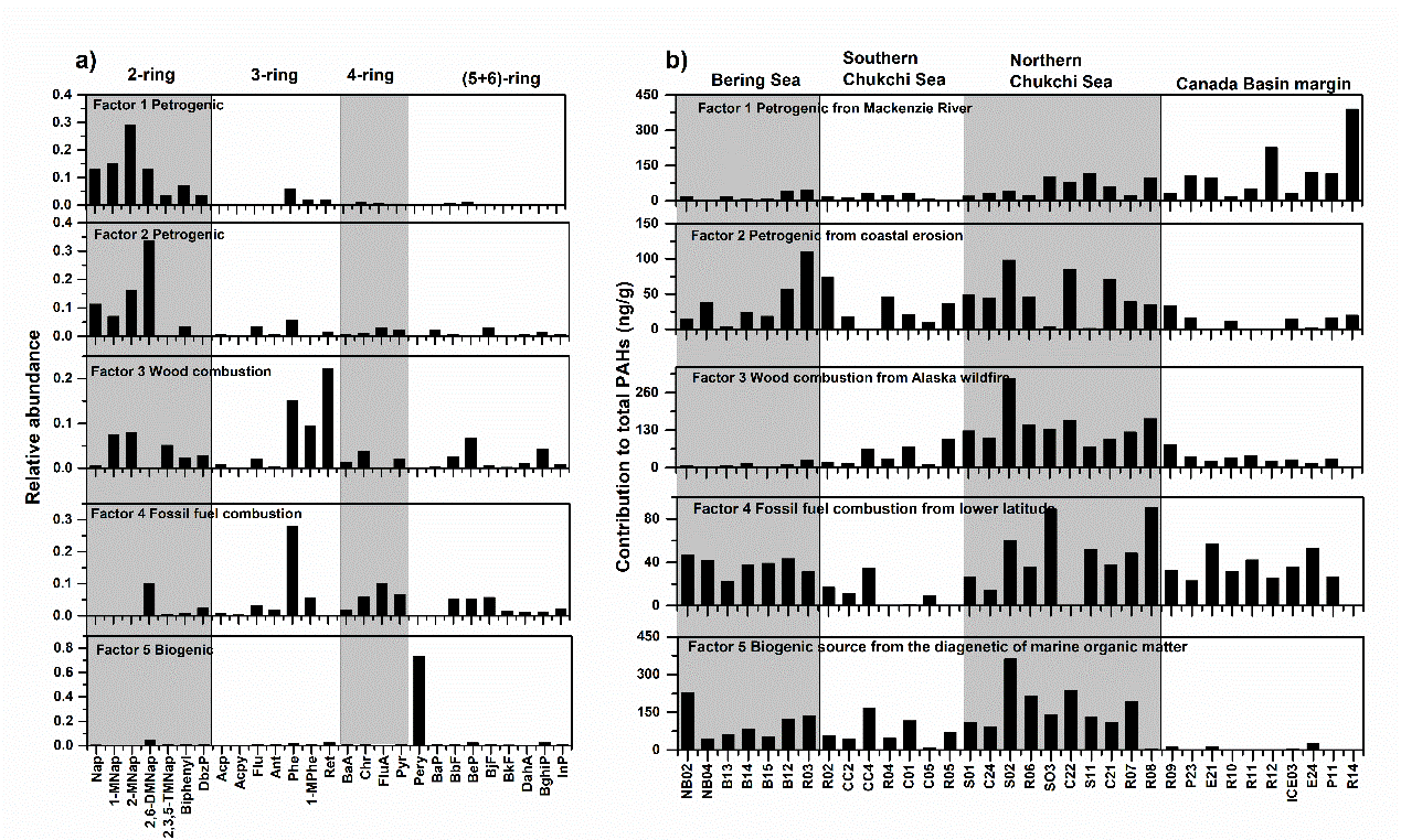
我们的研究结果显示,27种PAHs的浓度(50.4 ~ 896.0 ng/g dw)随纬度的增加呈增加再减小的变化模式,并在楚科奇海东北部出现最高值。多环芳烃与细颗粒物含量、总有机碳、稳定碳同位素和黑碳含量呈显著正相关(p<0.01或0.05)。多种源解析方法均显示PAHs成岩来源的比例随纬度的增加而增加,PMF模型进一步分离并明确了五种不同的来源,包括两种成岩源(36.7%)、两种热解源(软木和化石燃料燃烧,35.5%)和一种原位生物源(苝,27.8%)。PMF模型在楚克其海的海冰边缘区成功提取并捕捉到来自麦肯齐河的极高成岩源信号,另一个成岩源的高值信号主要出现在陆架区,推测其可能来自于冰川消融对煤矿的侵蚀作用。软木燃烧来源的贡献主要分布在楚科奇海东北部,很大概率是全球气温升高导致的阿拉斯加野火燃烧频次增加所致,而化石燃料燃烧则在不同纬度表现出相似的贡献。该研究结果揭示了自然来源是北极白令海-楚克其海地区PAHs的最主要来源,对全球变暖高度敏感,相关的生态效应值得更多的关注。
课题组博士林嫣为论文第一作者,蔡明刚教授为通讯作者。该成果是林嫣博士继“Improved source apportionment of PAHs and Pb by integrating Pb stable isotopes and positive matrix factorization application (PAHs): A historical record case study from the northern South China Sea:10.1016/j.scitotenv.2017.07.190和Perfluoroalkyl substances in sediments from the bering sea to the western arctic: source and pathway analysis: https://doi.org/10.1016/j.envint.2020.105699两篇论文之后,探究结合PMF模型和基础参数在持久性有机污染物不同来源特征提取、传输途径解析及其与气候变化的关系等方面更进一步的应用。

五个来源的组分分布及其对白令海北部-楚克其海沉积物中PAHs贡献的空间分布图(a:化合物按环数由低到高排列,b:站点按纬度由低到高排列)
同行编辑、评审人均认为该成果通过集成源解析方法和地球化学参数,成功提取出不同来源的运输轨迹,降低了不确定性,其技术手段富有创新性(quite novel)。突破了PAHs源解析的传统思路局限,为北极地区PAHs的自然来源和运输途径研究提供了新的视角(provide new insights)。在科学意义上,审稿人评价该成果的科学价值(scientific echo)足够深远(strong enough)。
该研究得到了国家自然科学基金(41576180,41776088,41976216,41961144011)、南极和北极环境的综合调查和评估(CHINARE03-02)、福建省自然科学基金(2014J06014)、厦门大学校长基金(20720180111)和国家留学基金委(No.201806310097)等项目的资助。
Reference:
Yan Lin, Lin Liu, Minggang Cai, Lisa A. Rodenburg, Mahdi Chitsaz, Yanguang Liu, Mian Chen, Hengxiang Deng, Hongwei Ke, Isolating different natural and anthropogenic PAHs in the sediments from the northern Bering-Chukchi margin: Implications for transport processes in a warming Arctic,
Science of The Total Environment,Volume 736, 2020, 139608, ISSN 0048-9697.
原文链接:DOI: 10.1016/j.scitotenv.2020.139608